胰岛素抵抗的解决方法只有三个选项:运动 ,饮食,先天基因。
基因是天生的,你不能后天修改。
比如你有家族糖尿病史,你就有这个胰岛素抵抗的基因。你不能重新投胎,你也不能制止你其余的家族成员患上糖尿病。
那么就剩下饮食和运动了。
你提问当中说:除了饮食和运动,那恭喜你,那就什么都不剩了。
胰岛素抵抗症状
简单来说,就是你胰腺分泌的胰岛素,没有正常人的工作效率那么高,相当于你雇佣了一千个懒蛋,富士康雇佣了一千个精兵。
那么同样的工作量,你的懒蛋肯定够没有富士康的员工效率高。

正常细胞是可以接受葡萄糖的,然后转化为能量,于是你浑身就有劲儿了。
一型糖尿病天生产生不了胰岛素,咱们不讨论。
二型糖尿病是后天虽然产生胰岛素,但是细胞无法接受葡萄糖。

黑棘病
一般指的是你脖子后面,腋窝下面,还有大腿根腹股沟。


看起来特别脏,用东北话说,全是cun。好像很久没洗澡一样,甚至还会黑的油量。
这个特征是不分岁数的,如果有胰岛素抵抗,小孩子也会有这个问题的。
不要骂孩子没洗干净,因为这个就是黑棘皮病。
男性的雄性激素低迷
有实验证明男性的雄性激素与胰岛素之间有正相关。
什么意思,就是如果你雄性激素的睾丸酮素旺盛,你一般不会有胰岛素抵抗;如果你雄性激素水平比较低,很容易出现胰岛素抵抗。

男性的雄性激素是睾丸分泌的,女性是卵巢分泌的。
如果一个男性大胡子+谢顶,一般来说不容易胰岛素抵抗。

女性的胰岛素敏感
男人用雄性激素保护自己,女人用雌性激素保护自己。
有研究表明,如果女性体内分泌的雌性激素E2比较丰富,就可以有效的保护身体不会受到胰岛素抵抗的侵袭。
一个女性雌性激素旺盛的表现就是大骨盆。

有人骨盆大有人骨盆小,骨盆小自然屁股小。
当你是小骨盆的姑娘时,再配合小细腿。

比如这种,基本上很大概率就是胰岛素抵抗。

肥胖与腰围
我们的肥胖又分成苹果型肥胖和梨形肥胖。
如果你胖的是屁股和大粗腿,恭喜你,你胖的是健康的,你不太可能是胰岛素抵抗。

看上图的两个姑娘,岁数差不多,体重差不多,体脂率差不多,但是左一是胖屁股的梨型身材,右一是胖腰的苹果型身材。
很可惜,你胖哪个位置是你天生决定的,不是后天可以更改的。
它是你新陈代谢的结果,而不是原因。
还有一个更简单的测量方法,就是测量腰围。

为什么中国菜这么油腻,但是中国人口肥胖率没有美国那么高? - 西门镜湖的回答 - 知乎 https://www.zhihu.com//39870793/answer/592061641
男性腰围不得超过100,女性腰围不得超过80cm。
尽管如此,镜湖依然觉得这个标准并不客观,因为每个人的身高不一样。
但是大约让我们看见了一个临界点。
血糖测试
其实有最简单的办法,就是A1C测量你的平均血糖。

使用血糖测试仪【某宝搜索血糖仪,抽血的过程不痛苦的】,测试自己的平均血糖。
5.7以下的A1C被认为是正常的。
5.7至6.4间的A1C是糖尿病前期诊断。
A1C等于或高于6.5是糖尿病的诊断。

以上是胰岛素抵抗的几乎全部症状,剩下的还有肥胖什么的。

恶果
男性因为胰岛素抵抗,未来可以获得二型糖尿病。
女性因为胰岛素抵抗,首先会先变得肥胖,后面可能会演变成多囊卵巢综合症。

无论男性还是女性,胰岛素抵抗的前提下,很容易出现脂肪肝。或者叫做非酒精性脂肪肝。

脂肪肝的下一步,除了肝硬化,那么会导致你的血液当中坏的胆固醇增高,堵在脑子里就是脑梗,堵在心脏里就是心梗。
解决办法
所以解决办法也很简单,先【减脂】解决肥胖,其次【增肌】刺激肌肉生长,增加【胰岛素敏感性】你葡萄糖的利用率。
其实上面的 黑体字很重要。
解决肥胖
这个就没什么可说的了,简单清晰,减脂运动+控制饮食,降低你的腰围。
不运动不减脂,就这么简单。
你运动了,不控制饮食也不减脂。
不减脂的结果是,你体重可能掉了几斤十几斤,但是你的腰围纹丝没动。
所以你说,除了运动和饮食,怎么控制胰岛素抵抗?
很简单,控制不了。
就这么两个办法,而且这两个还要同时进行,缺一不可。
饮食部分
这里我多说一句,我们吃进去的所有食物分成七大类:碳水化合物,蛋白质,脂肪,水分,维生素,纤维素和矿物质。

其中碳水化合物部分,进入身体会变成糖,因为构成不同,分成单糖,双糖和多糖。

但是因为搭配组合的不同,升高血糖的速度是不一样的。
所以不能单独用糖的分类来判断什么是好的碳水化合物,什么是坏的。
以前我们研究一个食物的含糖量,叫做GL值。

发现这个计算方法不够实际客观,有些食物含糖量很高,但是不容易患糖尿病;有些食物含糖很低,但是却容易引发胰岛素抵抗,产生二型糖尿病。

其中高GI的临界点是70,低GI的临界点是55.
所以中间还有一个中GI的食物,比如玉米或者萝卜,这些玩意可以吃,但是不要多吃,它们是中GI的。
胰岛素抵抗与GI值
作为胰岛素抵抗的基因,恭喜你,你的一辈子要彻底断绝掉高GI的食物。
注意,我没有叫你少吃,我没有叫你控制,我要求你彻底断绝掉,你以后就跟大米饭,白面条,白面包说永别了,一辈子都不要碰了。

具体食物的GI值可以查阅这个表格,如果看不清楚可以关注我
胰岛素抵抗的人,后半辈子都要跟低GI的食物为伍了,不能碰高GI食物。
注意我没有让你彻底断绝碳水化合物,我说的是断绝简单碳水化合物。注意【简单】两个字。
不了解碳水化合物分类的人请看下面的文章。
恶性循环
胰岛素抵抗+吃简单碳水化合物=产生一个恶性循环。
胰岛素抵抗的人吃高GI的食物就跟吸毒一般,越吃越好吃,吃完了立刻犯困,浑身发热,想要睡觉,比如午睡。
然后瞬间堆积脂肪,让你更胖。
胖了不是最大的危害,最大的危害是升高血糖后会瞬间帮助你降低血糖,所谓站得高摔得惨。

当你血糖降低的时候,你会感觉到瞬间饥饿无比,自己无法控制的那种,所谓饥不择食,你又会想吃简单碳水化合物,最后恶性循环就产生了。
增肌运动与睾丸酮素
如果你已经减脂结束,或者你本身不胖。那么你现在需要做的不是继续减脂,而是开始增肌,大重量无氧运动做起来。
因为刚才讲过了,睾酮水平跟胰岛素敏感性是同涨同跌的。
而你减脂的时候,你的睾酮水平 下降的。唯有增肌运动才能够提升你的睾酮水平。

地址:https://anabolicmen.com/resistance-training-resting-testosterone/
有实验证明,你做大重量无氧训练,睾酮水平可以升高42%。


很多小姑娘担心自己已经睾酮水平很高了,这样健身下去,会不会越来越高。
事情是这样的,健身是一种消耗睾酮的过程,通过晚上的睡眠和饮食,恢复。
所以,这种自然分泌的过程,不会让你超出自己的临界值。
什么意思?
就是男人健身,会越来越爷们,女人健身,会越来越娘们。
不会因为健身,导致你女人分泌睾酮太多,以至于变成男人,不可能的,想都别想。
但是什么会让你变成男人?
熬夜。
熬夜是一种打破你的作息,干扰你内分泌的过程,你熬夜的时候,本来应该分泌雌性激素,你没有在睡觉,你在玩手机,那么你雌性激素没有分泌,并且身体帮助你分泌雄性激素。
这个基本上也就是多囊卵巢的主要原因。
所以千万不用担心,通过健身让你的睾酮变高,健身不会,健身反而还会促进你的睡眠。但是熬夜才会让你长胡子,掉头发,睾酮增高,雌性激素降低,女人变成男人。
大重量无氧
注意上面五个字,缺一不可,大重量,并且要无氧的运动。要深蹲硬拉这种才可以。

比如肱二头肌弯举啊,腹肌啊,这个是无氧,但是不是大重量无氧,所以对于提升你的睾酮水平没什么太大帮助。
你需要做的动作,多关节,多肌肉群,并且重量足够大,接近自体重或者超过自体重。
注意,不是叫你自体重深蹲硬拉,而是你如果60kg,你需要负重60kg深蹲或者硬拉60kg才有效果。
细胞的糖吸收水平
当你做了无氧训练后,你伴随着身体的无氧糖酵解,肌肉和肝脏当中的糖原都消耗殆尽。此时产生一个很大的缺口,你吃进去的碳水化合物会首先为你缺少糖原的肌肉细胞提供能量。
换言之,提高了你胰岛素的敏感性。

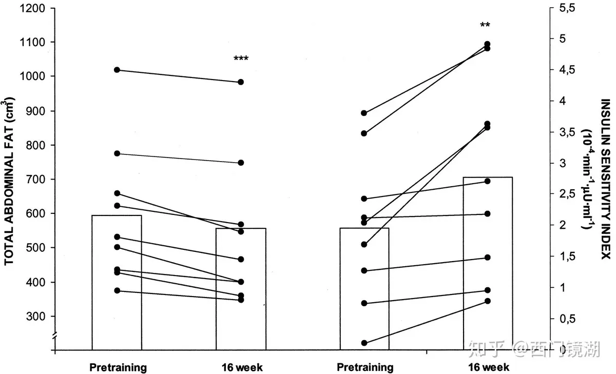
这里有实验证明做16周的训练,腹部的脂肪开始减少,并且胰岛素的敏感性大幅度提高。
关于胰岛素抵抗应该如何锻炼,内容有点太多,我已经把对策写在下面的文章里了,说白了就是训练你的臀腿肌肉,你有美队的翘臀,你也不可能糖尿病。

胰岛素功能
几乎所有人都了解到了,胰岛素的功能是降血糖。但是它还有另外一个神奇的功能,就是蛋白质合成。
胰岛素降低血糖,变成脂肪堆积;合成蛋白质,也就是合成肌肉。
胰岛素的功能两个重点,合成脂肪+合成肌肉。
如果你没有锻炼肌肉,你自然不需要合成肌肉,那么你只能合成脂肪,你吃进去的东西只能够变成脂肪堆积。
做有氧训练是不增加肌肉的,只有无氧才能够增加肌肉。
所以请好好利用你的胰岛素,不要让它只负责合成脂肪,也要给它机会合成肌肉啊。
结论
胰岛素抵抗是一种基因缺陷,我们东亚人比较常见。既然无法逆天改命,请正确认识你的基因,你有没有家族糖尿病史,黑棘皮病,还有就是大粗腰。如果你有肥胖问题,你首先需要解决的就是你的腰围,也就是减肥。
饮食方面需要彻底断绝简单碳水化合物,没错,白米饭一辈子不能碰了。
很多人误解了我的意思,我可从未说过不吃碳水化合物,我说的是不吃简单碳水化合物,注意简单两个字,你还可以吃复杂碳水化合物的。
我说不要吃白米饭,白面包,白面条。注意我说的“白”这个字。你可以吃糙米,粗粮面包,全麦面包,粗粮面条。关于更多的碳水化合物知识可以看下面这个文章。
但是减脂不是终点,增肌才是终点。
你未来的后半辈子时间都要在增肌当中度过,因为你需要保持很高的睾酮水平,高肌肉量,每次训练创造出来糖原缺口,这样你后面吃进去的碳水化合物才能够被你身体合成利用,并且胰岛素合成肌肉,相信镜湖,肌肉一定是你最好的朋友,也是你最好的保护伞。
本文来源:https://www.114yangsheng.com/articles/32600.html
标签组:[健康] [肥胖的成因] [肌肉] [糖尿病] [胰岛素] [减脂] [碳水化合物] [健身] [胰岛素抵抗] [睾丸酮]